浸润性与接触角
莲藕从淤泥中拔出比较干净、荷叶表面的水近似呈球状、水黾可以在水面行走、雨披可以防雨、农药溶液能散布于农作物表面等现象,与液体对固体表面的浸润(又称湿润,wetting)有关。引起浸润现象是源于分子间相互作用的表面张力,表面张力是界面上单位面积的自由能。如图1-1是液体在固体表面的静态湿润模型:

图1-1 静态接触角示意图
接触角θ指的是在气——液——固交界处(三重线,又称接触点)液——固交界面与气——液交界面的夹角,用于衡量浸润程度,其值越小则浸润性越好。假设不受限于分子直径,液体在固体表面无限铺展开,这称为完全浸润,此时θ=0°;液体与固体的接触面具有一定的面积且0°<θ<180°,则称为不完全浸润;如果θ=180°,则称为完全不浸润。一般定义θ<90°时,液体可以湿润(浸润)固体;θ>90°时,液体不可以湿润固体。
水是最常见的液体,它的浸润情况与憎水性(hydrophobicity)对应,接触角越大时则表示憎水性越好。
● 当θ<90°时通常称对应材料具有亲水性;
● 当θ>90°时通常称对应材料具有憎水性。
液体对固体的浸润作用一般可用黏附功来表征,它表示在真空中使单位面积的液体与固体的界面分离,留下裸固体表面所需的功,即

(1-1)
式中:为黏附功:、分别为真空中固体、液体的表面张力:为液——固相的界面张力。
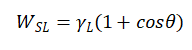
黏附功越大说明液体的浸润性越好。虽然黏附功可以准确表征没润性,但实际中,由于涉及固体的表面张力,准确测量难度高,以黏附功表征浸润性的做法难以实现。为了得到一个便于实际测量且能准确表征浸润性的量,经过推导发现黏附功与液体表面张力和接触角满足如下关系

(1-2)
式(1-2)称为 Young-Dupre 公式,它给出了黏附功与液体表面张力和接触角的关系。假设接触角为180°时,由式(1-2)可知黏附功为0,固液不存在吸引力,分离过程无需做功,液体完全不能浸润固体。
将式(1-1)带入式(1-2)得到式(1-3)

(1-3)
式(1-3)称为 Young 方程,θ又称 Young接触角。
上一篇:静态接触角常用的测量方法

