米lan体育官网入口下载安装

首页 > ac米兰app官方入口 > acc米兰体育 > 东莞水滴角测试仪测试方法-晟鼎厂家

东莞水滴角测试仪测试方法-晟鼎厂家

   东莞市米兰比分结果仪器生产的接触角测量仪,其测量方法的圆法,椭圆法和拉普拉斯杨法。

测量分析方法.

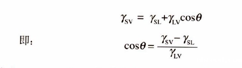
   我们在之前的文案中,详细的说明过圆法和椭圆法://www.nbreed.com/html/xwdt/xyxw/2776.html 这一篇,我们着重说拉普拉斯杨法,也就是杨氏方程:

   接触角和杨氏方程:

   设将液体滴在固体表面上,液体并不完全展开而与固体表面成一角度,即所谓的接触角。以θ表示,接触角的定义是:在气-液-固三相交点处做气-液界面的切线,此切线与固液交界线之间的夹角就是接触角,利用接触角来衡量液体对固体的润湿程度,其优点是直观,缺点是不能反应润湿过程的能量变化。

 

   固体表面液滴的接触角是固-气-液界面间表面张力平衡的结果,液滴的平衡使得体系总能量趋于最小,因而使液滴在固体表面上处于稳态,一般来说,液滴在光滑平坦固体表面的接触角可以用杨氏议程来表示 。

 

   杨氏议程是研究固-液润湿作用的基础,接触角的大小是判定润湿性能好坏的依据。

  θ<0 完全润湿,液体在固体表面辅展,

  0<θ<90度 液体可润湿固体,且越小,润湿性越好

  90度<θ<180度 液体不润湿固体

  θ=180度 完全不润湿,液体在固体表面凝聚成小球

   应当指出,杨氏议程的应用条件是理想表面,即指固体表面是组成均匀,平滑,不变形(在液体表面张力的垂直分量的作用下)和各向同性的,只有在这样的表面上,液体才有固体的平衡接触角。

 

水滴角测量仪主要是用来测试物体表面的接触角角度,通过水滴角度来分析判定物体表面的附着力、粘接性、疏水性、洁净度等重要指标,主要用在手机玻璃镀膜疏水性测试、相机镜头防指纹镀膜喷涂、LED电子元件邦定前洁净度分析、防水防腐材料研发生产等行业中。

   随着手机行业的发展,手机盖板,手机膜的表面处理性已越来越受到重视,许多厂家都希望通过接触角测试仪来测试各种手机盖板和保护膜的疏水性,来判断手机玻璃盖板的表面疏水程度,作为水滴接触角测量仪的生产厂家,我司生产的仪器已覆盖到珠三角多个手机供应链生产厂家。我司的半自动款水滴角测量仪SDC-100仪器测量水滴角数据准确,深受广大用户的喜爱。

  米兰比分结果的水滴角测试仪有手动注液,自动注液,全自动款水滴角测试仪,测量方法有:圆法;切线法,椭圆法;L-Y法和微分圆(微分椭圆法)。以下,是米兰比分结果的接触角测量仪详细的测试步骤。

  测试液体:纯净水

  测试仪器:SDC-100接触角测量仪

  测试样品:普通手机盖板

  测 试 员:任R

测试员操作接触角测量仪

第一步:打开水滴角测试仪,和与之相连接的电脑;

IMG_20160909_153125.jpg

第二步:手动滴液(自动滴液),手机行业的滴液标准是1-2微升。米兰比分结果的滴液精度可达0.01微升。滴液后通过上升样品台接到水滴角。

IMG_20160909_153218.jpg

第三步:上升样品台接到水滴。首先调整水平,再把试样置于工作台上,利用微量进样器调整液滴的量,使在针头形成液滴,转动旋钮使工作台上移,让试样表面与液滴接触,再下移工作台,试样上即可留下液滴。

IMG_20160909_153137.jpg

第四步:点击冻结后,即可按下述方法进行接触角的测量。将所显示的测量尺通过点击快捷按钮左移或右移或上移或下移移至,测量尺与液滴边缘相切。然后点击下移下移测量尺将交叉点与液滴边缘重合,点击左旋按钮,将测量尺与液滴一边相交,再点击计算,即可求出接触角.软件一键分析接触角度。方便快捷准确。

IMG_20160909_153244.jpg

相关资讯
友情链接:
Copyright © 2024 米lan体育官网入口下载安装 | 粤ICP备13017174号
Copyright © 2024 米lan体育官网入口下载安装 | 粤ICP备13017174号 |
友情链接: 米兰比分结果 达因特 晟鼎等离子 网站地图
Baidu
map