米lan体育官网入口下载安装

首页 > ac米兰app官方入口 > ac米兰app官方入口 > 接触角的概念,接触角测量仪可以测量什么材料

接触角的概念,接触角测量仪可以测量什么材料

接触角作为润湿性的指标非常直观和易于理解,已被广泛应用于工业领域,作为表面润湿性能的评价方法,使用接触角测量仪器可以测量,平面,弯曲和非水平表面的接触角。

什么是接触角?

  如果将液体放在固体表面上,则会由于其本身的表面张力而变圆,接触角测量仪作为润湿性的指标非常直观和易于理解,已被广泛应用于工业领域,作为表面润湿性能的评价方法。

接触角的概念

 接触角的概念

接触角的测量方法:

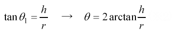
θ/ 2法(半角法,宽高法)

θ/ 2方法通常用于测量接触角。
接触角由下面给出的等式确定。液滴的半径r和高度h。

图片1.png 

此外,接触角是从连接左端和右端的直线与液滴的顶点相对于固体表面的角度获得的。

θ/ 2方法中,由于假设液滴的形状是假想圆的轮廓的一部分,所以可以忽略重力的影响的微小液滴进行测量。

这也可以通过计算机分析快速处理,因为它是一个简单的计算。

切线方法:

接触角测量方法之宽高法60度

  在接触角测量软件还不成熟的时候,厂家都会使用此方法,假设液滴的形状是假想圆的轮廓的一部分。该方法获得虚圆的中心,并将接触角确定为与圆相切的角和直线。从下图可以看出,三个弧点L1,L2和L3形成虚圆。切线m和下降基线l之间的角度是左接触角。可以使用点R1,R2和R3以相同的方式测量右接触角。
  接触角被确定为左端点和右端点的平均值。相反,使用切线方法,可以独立地确定左端点和右端点的接触角。因此,根据固体表面的状态,当左右液滴的值发生变化时,是有效的测量方法。

接触角测试方法之切线法

曲线拟合法

   假设液滴的轮廓形状形成真圆或椭圆的一部分,则使用给定间隔内的所有观察值(拟合部分)的坐标来执行最小二乘法。该计算确定了正圆或椭圆参数,并计算了端点的接触角微分系数。  
   使用切线方法,假设一个完整的圆形为轮廓形状。然而,与拟合完整圆的结果相比,第二个是更好的拟合圆,因为它对于较小的变化使用更多的坐标。

接触角测量方法之曲线拟合法 

使用接触角测量仪器可以测量:

1、平面,弯曲和非水平表面的接触角。
2、表面能(表面张力)的底物(分别为液体)计算极性或AB,分散或LW,单极性酸和单极性碱性成分

3、不同水平湿度下的接触角和表面能,并控制蒸汽的饱和度
4、油对土壤或金属的去油
5、表面活性剂的效率 

使用接触角测量仪器

    米兰比分结果SDC系列是一种强大的模块化和坚固的科学仪器,致力于表面化学研究。表面质量控制,在许多工业过程中,需要诸如涂层或等离子体处理的表面处理来调节粘合性和润湿性。在这些表面的质量控制(QC)中,在施加表面处理之前或之后可以使用简单的接触角测量,以确保平滑的工艺运行性能最大限度地减少浪费并确保产品的质量水平。 

    表面的接触角可用于多个加工步骤的QC:测试前,要保证表面清洁,表面处理后,确保所需的处理水平和/或涂层均匀性,解决粘着和润湿性相关的质量控制问题,接触角特别适用于表面质量控制目的,它是最表面敏感的技术之一,简单,快速,易于使用,独立于用户,特别是自动化给出数量,使之拥有成熟,科学的质量控制方法。


相关产品推荐:

便携式接触角测量仪               自动注液一键式接触角测量仪

 

整体倾斜动态接触角测量仪     手动注液一键式接触角测量仪

相关资讯
友情链接:
Copyright © 2024 米lan体育官网入口下载安装 | 粤ICP备13017174号
Copyright © 2024 米lan体育官网入口下载安装 | 粤ICP备13017174号 |
友情链接: 米兰比分结果 达因特 晟鼎等离子 网站地图
Baidu
map